I. 요점 정리
우리 나라는 백신 접종 개시 이후 코로나로 인한 사망자보다 백신에 인한 사망자가 더 많다.
한국과 유사점이 많은 아시아 국가 대만 (타이완) 또한 코로나로 인한 사망자보다 백신에 인한 사망자가 더 많다.
현존하는 코로나 백신은 코로나 감염을 예방하지 못한다 (=예방접종은 잘못된 호칭).
코로나 백신의 감염 예방 능력이 현저히 떨어짐이 밝혀진 현재 감염시 증상 완화를 접종 근거로 내세우고 있는 실정이므로 이론적으로 백신은 고위험군에게만 유용하다. 그러나 청소년 이하 연령층은 이 고위험군에 해당되지 않는다.
현존하는 코로나 백신은 코로나 전파를 막지 못한다.
코로나 백신은 모두가 알던 안전한 백신 (MMR, Tdap, Influenza)과 같은 품질의 평가를 받을 수 없는 안전 등급이 저급한 백신이다.
이스라엘 데이타는 세계 주류 언론의 스토리 라인에 정면으로 반대된다
소아, 유아, 임산부 백신 강제의 문제
코로나 백신은 소아, 청소년들에게 사용되도록 허가받지 않았다. 12세 이하가 실험군이었던 규모있는 백신 실험은 없었다. 그러므로 이들에게 미치는 백신의 중장기적 영향은 연구된 바가 없는 암흑 가운데 있다.
소아를 포함한 청소년은 코비드 바이러스에 대한 치명률이 제로, 즉 0.00% 수준임 알려져있다. 이 연령대에서는 독감이 오히려 더 위험한 바이러스이다.
코비드19로 인한 임산부의 위험은 높지 않은 반면 백신의 이상반응은 계속해서 보고되고 있다.
백신을 강제 접종하지 않는 것이 자명한 대안이다. 그리고 맹목적으로 백신 접종만이 해결책인 것 처럼 말하는 것은 거대 이권이 걸린 집단의 탑다운(top-down) 내러티브일 뿐이다. 강력한 효과가 입증된 코로나 치료제들이면 충분히다. 여지껏 결과로 보면 코로나 백신은 대 실패작이다.
II. 상세 버전
지난 10월 9일 "사흘간 백신 이상 반응 1만33건, 사망 18건, 인과성 미확인"이라는 제목의 기사가 돌기 시작했다. 중증 전신 알레르기 반응인 '아나필락시스' 의심 신고 사례는 25건이며 중환자실 입원 등 주요 이상반응 사례는 278건이 새로 신고되었다고 했고 국내에서 백신 접종이 시작된 이후 이상 반응 읫미 신고는 모두 30만 4천 302건이며 이는 이 날 기준 누적 접종 건수 6천 877만 여건의 0.44% 수준이라고 보도되었다(MBC 기사). 그런데 인과성을 확인할 수 없다는 말은 의심할 여지가 없는 사실이며 띄엄 띄엄 보이는 이런 기사들은 그저 출판 편향 (publication bias)과 같이 예외적인 사례가 도드라져 보이는 효과에 불과할까?
우리 나라는 백신 접종 개시 이후 코로나로 인한 사망자보다 백신에 인한 사망자가 더 많다
국내 첫 접종자는 2021년 2월 26일에 발생했고 세계 유수의 나라들에 비해 평균적으로 늦게 접종이 시작되었다. 인구 10%가 백신 1차를 접종한 시점 (5월 29일)을 기점으로 코로나 사망자 집계와 백신 이상반응 사망자 집계 비교해보자. 10월 7일 질병청 자료에 의하면 누적된 공식 이상반응사망 집계는 714명이다. 최근 3일에 백신으로 인해 18명이 사망했다고 기록되어 기사에 실리기도 했다. 그러나 이 통계는 실제 사망자 수를 과소평가했을 확률이 높다. 헤럴드경제 보도에 따르면 10월 11일까지 코로나 백신 접종 사망자는 1,057명이다. 이제 코로나 사망자를 알아보자. 5월 29일에서 10월 7일까지 공식 집계된 코로나 사망자 는 2544 - 1957 = 587명이다. 공식 집계만 확인해도 백신 접종 후 이상반응에 의한 사망자 수가 코로나로 인한 사망자 수보다 많다는 사실이 뭔가 크게 잘못되었다는 충격을 받지 못한다면 얼마나 무뎌진 것일까? 그러나 백신 이상반응에 의한 사망자는 통상적으로 과소 집계된다는 경험적 사실과 다른 수많은 기저 질환이 있어도 코로나 확진 사실이 확인되면 코로나 사망 집계에 포함된다는 사실 (“WITH COVID19 DEATH”)을 고려하면 현재 코비드19에 대응하는 방법이 근본적으로 재검토 되어야 한다는 점을 시사하는 것이 아니면 무엇이겠는가.
대만 (타이완) 도 코로나로 인한 사망자보다 백신에 인한 사망자가 더 많다
한국과 코로나 대응 및 낮은 치명률 등에서 여러모로 유사점이 많은 인근 아시아 국가 대만 또한 코로나 백신 접종과 관련된 사망자 수가 코로나 질병으로 사망한 경우보다 많다. 코로나19 백신에 의한 사망은 852명이며 코로나19와 함께 사망한(“WITH COVID DEATH”) 수는 844명으로 집계가 되었다. 코로나 치명률이 낮은 국가에서는 백신에 의한 사망자가 질병에 의한 사망자보다 많을 수 있다는 가설을 강화시키고 있다.
이론적으로 백신은 고위험군이 아닌 청소년 이하 연령층에게 접종할 정당성이 없다
초기에 코로나 백신은 감염을 예방하는 효과가 예상되었다. 그러나 감염 예방 능력이 현저히 떨어짐이 밝혀진 현재 감염시 증상 완화를 접종 근거로 내세우고 있는 실정이다. 그러므로 이론적으로 백신은 고위험군에게만 유용하다. 그러나 청소년 이하 연령층은 이 고위험군에 해당되지 않는다. 어린이들에게서 코비드19 유증상을 발견할 확률은 극단적으로 낮고 그로 인해 사망할 확률 또한 극단 적으로 낮다. 통계적 비유로 어린이가 코비드19로 사망할 확률은 번개에 맞을 확률보다 낮다.
많은 어린이들이 이미 자연 면역을 보유하고 있을 것이기 때문에 어린 연령층에 코로나 백신 접종 강제는 정당성이 더욱 없다. 기억해야할 것은 자연 면역을 보유하기 위해 유증상으로 감염될 필요가 없다는 사실이다. 그리고 자연 면역은 오래 지속되며 코로나 백신이 감당하지 못하는 광범위한 변이에 면역 능력이 있음은 잘 알려진 사실이다.
코로나 백신은 코로나 감염을 막지 못한다
코로나 백신은 코로나의 감염을 막지 못하는데 특히델타 변이 (현재 99% 이상 잠식률)의 경우 무용지물 수준이다. 68개 국가 그리고 미국의 2947개의 카운티에서 코비드 감염의 증가와 백신 접종률과의 상관관계가 없음이 밝혀졌다.
코로나 백신은 변이에 무력하다. 현재 코비드 백신은 오리지널 와일드타입 (우한에서 발견된 바이러스의 S단백질)을 모델로 만든 것으로 S단백질 부분에 사소한 변이가 일어나도 바이러스와 아귀가 안맞아서 무력하게 된다. 효능은 없고 부작용만 남게 되는 최악의 시나리오가 현재 발생하고 있다.
화이자 백신은 상업적 의료 백신으로 실패했다 (42% 효능: 논문 중 BNT162b2(화이자 백신) 검색. 2021년 8월 9일 논문). 원래 상업적 백신의 효능이 50% 미만이면 백신 허가 자체가 불가하다. 이 때문에 지난 9월 18일 FDA위원회에서 부스터 백신을 16:2 투표로 반대했었다. 이 모든 과학적 증거와 전문가집단의 반대를 무시하고 부스터는 승인되었다. 백신이 과학이라는 단순한 주문을 반복하고 있는 이들은 검열에 의한 정보 결핍으로 상황 판단을 못하고 있는 것으로 볼 수 있다.
CDC의 자료 또한 백신 접종 완료자들 사이에서 감염율이 높음을 보여준다(469명의 확진자 중 74%가 백신접종완료자).
완전 접종률 84%인 싱가포르의 일일 신규 확진자는 5,000명을 돌파했다. (10월28일)
이런 분명한 결과들로 인하여 더 이상 “코로나 예방접종”이라는 표현을 써서는 안된다. 감염예방 능력이 현저히 낮거나 부재하기 때문이다.
코로나 백신은 코로나 전파를 막지 못한다
옥스퍼드의 연구에 따르면 코비드19 에 백신 접종을 완료한 성인은 백신 비접종자와 동일한 수준의 델타 변이 바이러스 농도를 보였다. 백신 접종자도 코비드 바이러스를 비접종자와 같은 수준으로 전파한다는 사실이다. 영국 주요 언론인 텔레그래프지 또한 코로나 백신 2차접종 완료한 이들은 비접종자와 같은 수준의 바이러스 농도를 보유하고 있다고 밝혔다. 즉, 코비드 백신을 접종했다고 하여 슈퍼전파자가 아니라고 할 수 없는 것이다. 백신은 접종받은 이들을 보호하기 위해 존재해왔다. 그러나 그 백신 제들 조차 바이러스 전파를 줄인다는 주장을 하지 않고 있다. 코로나 백신이 치명성이 줄어든 코로나 바이러스 감염 가능성을 줄이지 못하고 있다면 이론상 이 백신이 코로나 바이러스 전파를 가속화하는 촉매제가 되고 있을 가능성이 높기까지 하다.
코로나 백신이 코로나 전파를 막지 못한다는 사실을 대중에게 인식시키기 위해 옥스퍼드 백신 그룹의 앤드류 폴라드 교수와 같은 거장이 나서야 했다. 그는 백신으로 전파를 막는 노력은 헛된 노력이라는 사실을 알림으로 “어린이 백신 접종”의 주요 토대로 사용되는 근거를 무너뜨렸다. 폴라드 교수는 백신에 의한 “집단 면역”은 영원히 도달할 수 없는 망상일 뿐이라고 이야기했다.
10월 28일 백신이 코로나 전파를 막을 수 없었다는 연구 논문이 The Lancet에 발표되었다.
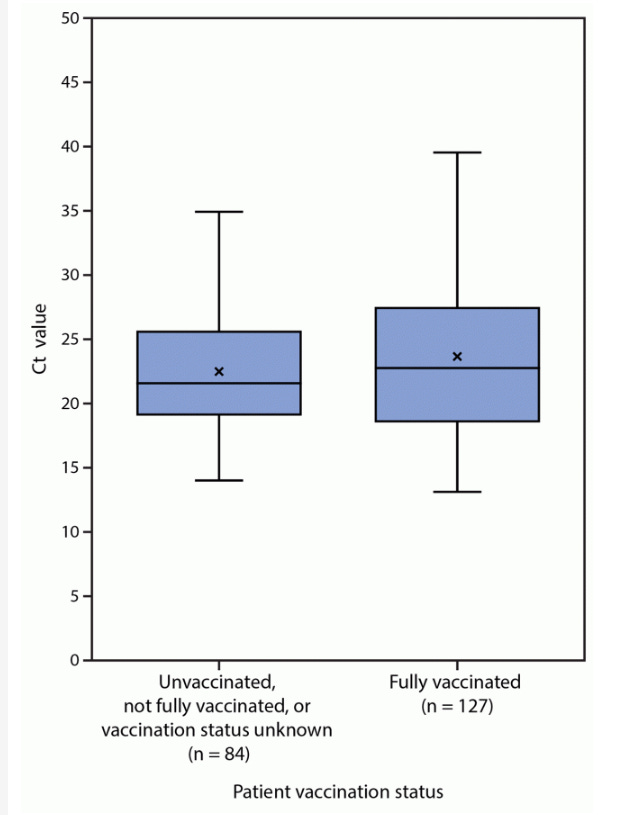
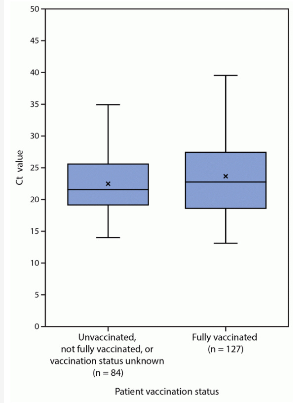
미국 캘리포니아 코로나 델타 변이에 감염된 사람들을 조사한 결과 접종자와 비접종자, 그리고 유증상자와 무증상자 사이 코로나 바이러스 농도(viral load)의 차이가 없음이 보고되었다 (아래 그래프 참조). 이로 인해 백신여권, 백신 패스, 그리고 백신 강제 (mandate)의 정당성을 성립시키기 더 어려워졌다. 비슷한 연구결과를 위스콘신 매디슨 대학 연구진이 발표하기도 했다.
CDC의 왈렌스키 청장은 코로나 백신이 전파를 막을 능력이 없음을 시인하기도 했다.
NEW - CDC director Rochelle Walensky now admits that the vaccine cannot prevent transmission. A statement that got you banned on social media weeks ago.노벨화학상을 수상한 스탠퍼드대 마이클 레비트 (Micheal Levitt) 교수는 백신 접종자와 비접종자 사이에 바이러스 보유농도에 차이가 없음을 발표한 제자의 연구 결과를 지지하기도 했다 (아래).
Preprint from a great scientist, Joe DeRisi. He did a rotation in my lab at Stanford decades ago. medrxiv.org/content/10.110… "No Significant Difference in Viral Load Between Vaccinated and Unvaccinated, Asymptomatic and Symptomatic Groups Infected with SARS-CoV-2 Delta Variant"CDC 자료 또한 백신 접종자와 비접종자 사이에 PCR cycle threshold의 차이가 없음을 밝혔다.
충격적인 최신 영국 정부보고서에 따르면 코로나 백신 접종완료군이 비접종군보다 코로나에 감염된 숫자가 (10만명당) 높으며 특히 30세 이상 집단에 그 현상이 도드라졌다 (아래 표 참조).
이 포스팅에서 다루지 않았지만 코로나 백신은 접종자들을 통해 변이를 유발하게 하고 바이러스를 더 퍼뜨리게 하는 ADE (Antibody-dependent enhancement)라는 기제를 작동시키는 것으로 재차 확인되고 있다. 그러므로 비접종자들의 팬데믹 (pandemic of the unvaccinated)이라는 표현이 180도 뒤집어져 그간 가해자로 잘못 묘사해온 네러티브가 그 반대임이 드러나고 있다. 다른 포스팅에서 다루도록 하겠다.
이스라엘 데이타는 세계 주류 언론의 스토리 라인에 정면으로 반대된다
세계 주류 언론 (레거시 미디어)의 스토리 라인과 달리 현재 백신 비접종자가 팬데믹을 주도한다는 네러티브는 사실과 크게 다르다. 최근 이스라엘 공식 데이타 (아래 표)에 따르면 모든 연령대에서 코로나 백신 2회 접종자 (소위 접종완료자)의 인구 백분율(%) 과 확진자 중 접종 완료자의 백분율(%)와 거의 일치하는 다소 충격적인 결과가 나왔다. 사실 통상적 검증 과정과 기간 없이 급속도로 제조되어 품질이 형편없는 코로나 백신의 실태와 그 이상반응의 메커니즘을 이해하는 이들에게 이 뉴스는 이미 예상되었던 결과였다. 다만 주류 언론이 제대로 생명을 살리는 중요한 팩트를 전달하기를 줄곧 거부해왔기 때문에 충격으로 다가오는 것일 뿐이다. 이처럼 전국을 화이자의 실험실로 만들어버리는 도박을 한 이스라엘과 화이자대주주들에게 백신 실험의 실패를 인정하기란 얼마나 어려운 일이었을지 짐작은 할 수 있으나 이제 검열을 멈추고 실패를 인정하고 피해 복구에 전력을 기울이는 것이 향후 피해를 최소화하며 인류의 생명을 소중히 여기는 방향일 것이다.


현재 이스라엘 중증입원자의 95%와 85-90%의 신규 입원자가 백신 접종자인 실정이다. 백신은 무력화되었고 무용지물, 아니 나아가 보건의 적이 되어가고 있다.
소아, 청소년 연령층 이하 백신의 문제
백신을 접종 시켜여 한다는 입장: 미국 소아연령대 코로나 사망자가 늘었다는 보고를 인용한다. 그러나 이는 논문 아니며 (APnews) 조사 대상자의 모집군이 일반화할 수 없는 작은 수이다. 그리고 대부분의 어린이는 무증상 감염되기 때문에 예년의 기저질환 사망 통계를 베이스라인으로 삼아 비교해보지 않으면 RSV등 타 호흡기 계통 사망자들과 중복계산했는지 알 길이 없다. 그리고 코로나 백신 접종 후에 2주 안에 사망시 코비드 사망자로 분류되는지도 확인하여 백신 사망자 어린이가 코로나 사망 어린이로 통계 발표시 둔갑되는 일이 없도록 리뷰(critique)을 확실히 해야만 할 것이다.


코로나 백신은 소아, 청소년들에게 사용되도록 허가받지 않았다
12세 이하가 실험군이었던 규모있는 (=샘플 사이즈가 의미 있는) 백신 실험은 없었다. 그러므로 이들에게 미치는 백신의 중장기적 영향은 연구된 바가 없는 암흑 가운데 있다. 소아, 청소년들을 백신 임상실험에 참여시킨 후 발생한 심각한 이상반응을 언론에 알리지 않기 위해 묵과하고 덮은 흔적들이 있다. 이 1,1131명의 어린이를 포함한 임상 리포트에 의하면 어린이들에게서 매디란 12세 소녀가 경험한 끔찍한 이상반응이 일어날 확률은 1/1000이며 이는 미국에서 7,500명의 어린이가 이런 상을 당할 것임을 의미한다.
5-11세용으로 제조된 화이자 백신은 임상실험에서 사용된 구성 성분과 다르다. (이 부분은 현재 암암리에 급박에서 진행되고 있는 어린이 백신이므로 인용할 수 있는 관련 논문이나 기사가 없으나 FDA내부 프레젠테이션 자료는 입수되었다 )
10월 28일 FDA자문 패널에서 에릭 루빈 (뉴잉글랜드 의약저널(NEJM)의 편집장)이 화이자 백신이 5-11세 어린이에게 안전하다는 데이타가 없다는 점을 인정했는데 그럼에도 이 백신을 5-11세 어린이들에게 접종하여 직접 안전한지 알아보겠다는 비윤리적인 발언을 공적으로 한 바 있다.
코비드19 백신은 당신이 알던 안전한 백신군 (MMR, Tdap, Influenza…)과 거리가 멀다
현존하는 주류 언론과 집권 세력의 네러티브는 안티백신주의라는 레이블을 붙이는 것이다. 그러나 백신이라는 이름만 붙이면 그 백신의 안정성과 퍼포먼스와 무관하게 신뢰해야한다는 "만백신평등주의"는 과학인가?
급조 개발되고 준전시에 허용되는 긴급 명령급으로 속사포로 허가 받은 백신으로 현재도 실험 중인 백신이다.
VAERS는 무시할 수 없는 실제 자료이다. 과소 보도되고 있음은 분명하다. 이렇게 거대한 문제가 있고 수많이 이들이 울분을 토하고 있는데 이런 이상 경보에 귀기울이지 않고 있는 이유는 무엇인가?
품질과 안전등급이 저급한 급조된 코로나 백신을 강제 접종시킬 명분이 있으려면 최소한 천연두나 에볼라 바이러스 정도와 유사한 치명율 (>30%)이어야하는데 코로나 (SARS-2)의 감염사망율(IFR)은 코비드19 치료 프로토콜이 없었던 2020년에도 무려 0.15%미만이었다.
코로나 백신이 부정적 반응을 일으키는 메커니즘은 베일에 싸여있지 않다. 쉽게 이야기하면 우리 몸이 더 이상 병원균(pathogen)의 침입을 막는 것이 아니라 돕게 되는 메커니즘이다. mRNA방식이든 벡터방식이든 상관없이 접종자의 몸에 항원을 닮은 스파이크 단백질을 생산/유통시키는 방식인데 이 스파이크 단백질 자체가 사람의 기저 상태에 따라 잠재적 문제를 일으키는 원인 - 체네 염증을, 사이토카인 폭풍을 그리고 간혹 접종자의 면역력이 급격히 저하는 되는 요인으로 지적받고 있다.
이런 무력하고 백신 이상반응에도 CDC 그리고 질병청이 소아, 임산부에게까지 강제하는 무리수를 두는 이유는 무엇일까?
미국은 주마다 옥신각신 중.
Texas bans covid19 vaccine mandate (10/11)
코비드19로 인한 임산부의 위험은 높지 않은 반면 백신의 이상반응은 계속해서 보고되고 있다
코로나 이전 시대와 비교했을 때 임산부에 미치는 위험은 거의 차이가 없다. 영국에서 코비드19로 인해 임산부가 ICU에 입원할 확률은 비-임산부보다 약간 높았으나 중요한 차이는 아니며 이는 임산부에게 입원의 우선권을 주었기 때문일 가능성이 높으며 이 마저도 부수적인 이유로 입원을 했으나 PCR양성 판정을 받은 경우가 많다고 추정된다. 이에 반해 여성에게서 나타나는 출혈 이상반응 (breakthrough bleeding)은 검열되고 있음에도 불구하고 수도 없이 많이 보고되고 있다. 예를 들면 66% 폐경 여성에게서 폐경후출혈 증상이 보고되었다.
그럼 대안은 무엇인가?
대안은 코로나 백신 접종 강제를 당장 철회하는 것이다. 현재 코로나 백신 접종은 중,장기 부작용, 이상반응에 대한 실험 및 모니터링이 전혀 되어 있지 않음에도 이미 그 피해는 코로나 질병 감염에 의한 피해보다 못지 않거나 훨씬 클 수도 있다.
우리의 미래 세대인 어린이들을 어른들이 보호해야한다. 무죄한 어린이들을 글로벌 제약업체 (소위 빅팜<Big Pharma>)와 부패한 정부 관료 주의로 부터 보호해야하는데 이를 위해 용기가 필요하다.
자연 면역이 백신에 의한 면역보다 여러 면에서 월등하기 때문에 자연 면역을 정책 결정시 계산에 포함시키는 것이다. CDC는 어린이들의 50% 이상이 이미 자연 면역을 보유하고 있다는 의견을 가지고 있다.
초기 치료 프로토콜을 확립한다 ( Early treatment). 이버맥틴(Ivermectin)과 같은 저비용 고효율 치료 수단이 제대로 홍보되지 않고 사용 허가 및 구매도 어렵게 만들어 놓았다는 사실은 펜데믹 공중 보건 내러티브가 과학을 따르지 않은 채 자본과 일부 기득권층 (the Establishments)이 이권에 의해 큰 영향을 받고 있다는 증거로 볼 수 있다.
코로나에 관한 (악의적이며) 잘못된 정보를 바로 잡는다. 미국 NIH가 스폰서 역할을 한 바 있는 중국 우한 실험실에서 인공적으로 만들어졌다가 유출된 바이러스이지만 다행스럽게도 천연두 (30% 치명율), 사스 (SARS-Cov-1) (11% 치명율), 스페인 독감 (>2.5% 치명율)과 같은 치명적인 펜데믹이 아니다. 코비드19의 감염사망율은 0.15% 이하이다. (*정정1: 치명율 0.01%는 정확한 표현이 아니었다. 좀더 정확히 표현으로 바꾼다. 코비드 치명율 계산은 그 자체로 심각한 문제를 안고 있어서 감염사망율(IFR)이 감염시 좀더 객관적인 리스크를 산정할 수 있는 지표이며 세계적 석학 Ioannidisa교수에 의하면 한국의 경우 감염사망율 0.1%로 계산되었고 70세 이하의 경우 0.00%로 계산되었다. 게다가 이것은 백신과 치료 프로토콜이 보급되기 전인 2020년 자료임을 유의해야한다.)
건강한 식습관과 금연, 운동으로 비만 등 치명적인 기저 질환을 예방하며 비타민D섭취와 같이 메타 연구에서 코로나 감염을 억제와 연관성이 대비법에 대한 조언을 따른다.